Product Summary
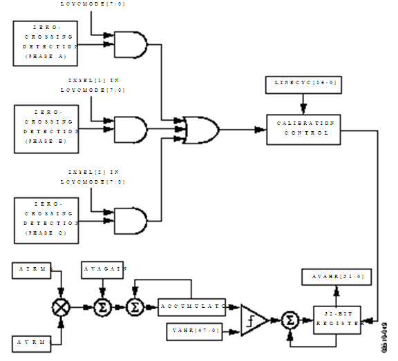
The ADE78781ACPZ is a high accuracy, 3-phase electrical energy measurement IC with serial interfaces and three flexible pulse outputs. The ADE7878ACPZ incorporates second-order sigma-delta(Σ-Δ) analog-to-digital converters (ADCs), a digital integrator,reference circuitry, and all the signal processing required toperform total (fundamental and harmonic) active, reactive, andapparent energy measurement and rms calculations, as well asfundamental only active and reactive energy measurement andrms calculations. A fixed function digital signal processor (DSP)executes this signal processing. The DSP program is stored intointernal ROM memory.
Parametrics
ADE7878ACPZ absolute maximum ratings: (1)VDD to AGND: -0.3 V to +3.7 V; (2)VDD to DGND: -0.3 V to +3.7 V; (3)Analog Input Voltage to AGND, IAP, IAN,IBP, IBN, ICP, ICN, VAP, VBP, VCP, VN: -2 V to +2 V; (4)Analog Input Voltage to INP and INN: -2 V to +2 V; (5)Reference Input Voltage to AGND: -0.3 V to VDD + 0.3 VDigital Input Voltage to DGND: -0.3 V to VDD + 0.3 V; (6)Digital Output Voltage to DGND: -0.3 V to VDD + 0.3 V.
Features
ADE7878ACPZ features: (1)Highly accurate: supports EN 50470-1, EN 50470-3,IEC 62053-21, IEC 62053-22, and IEC 62053-23 standards; (2)Compatible with 3-phase, 3- or 4-wire (delta or wye), andother 3-phase services; (3)Supplies total (fundamental and harmonic) active/reactive/apparent energy and fundamental active/reactive energyon each phase and on the overall system; (4)Less than 0.1% error in active and reactive energy over adynamic range of 1000 to 1 at TA = 25°C; (5)Less than 0.2% error in active and reactive energy over adynamic range of 3000 to 1 at TA = 25°C; (6)Supports current transformer and di/dt current sensors; (7)Dedicated ADC channel for neutral current input; (8)Less than 0.1% error in voltage and current rms over adynamic range of 1000 to 1 at TA = 25°C.
Diagrams

| Image | Part No | Mfg | Description | ![]() |
Pricing (USD) |
Quantity | ||||||||||||||||
|---|---|---|---|---|---|---|---|---|---|---|---|---|---|---|---|---|---|---|---|---|---|---|
![]() |
![]() ADE7878ACPZ |
![]() |
![]() IC ENERGY METERING 3PH 40LFCSP |
![]() Data Sheet |
![]()
|
|
||||||||||||||||
![]() |
![]() ADE7878ACPZ-RL |
![]() |
![]() IC ENERGY METERING 3PH 40LFCSP |
![]() Data Sheet |
![]()
|
|
||||||||||||||||
(Hong Kong)









